Les modèles d’attribution permettent de mesurer l’efficacité respective de vos différents canaux et points de contact dans les chemins de conversion empruntés par vos clients. Dans le contexte d’une complexification des parcours clients sur le web, cette méthode d’analyse est de plus en plus utilisée par les marketeurs.
L’enjeu derrière les modèles d’attribution est de nature opérationnel et stratégique. Ils permettent de répondre à des questions du type : sur quels points de contact investir le plus de budget marketing ? Quels canaux privilégier (le trafic organique, la publicité, les réseaux sociaux, l’affiliation…) pour augmenter mes ventes ? Combien me rapporte un euro investi sur tel canal ? Les modèles d’attribution permettent d’optimiser votre stratégie marketing et de mieux ventiler vos dépenses par canaux en fonction de leur efficacité.
Après avoir défini la logique et l’objectif des modèles d’attribution dans le cadre du marketing, nous vous présenterons les 7 principaux modèles utilisés par les entreprises du digital.
Qu’est-ce qu’un modèle d’attribution marketing ?
Un modèle d’attribution marketing est, selon Google, « une règle ou un ensemble de règles qui définit la manière dont le crédit des ventes et des conversions est attribué aux points de contact dans les chemins de conversion ». Pour mieux comprendre de quoi il s’agit, prenons un exemple très concret. Soit un internaute qui, lors de son parcours d’achat, passe par une annonce sponsorisée Google Ads, par un comparateur de prix, puis par une bannière de retargeting. A quel canal attribuer le crédit de la conversion finale ? Ou, si on raisonne de manière plus fine : comment répartir les mérites respectifs de chacun des canaux impliqués dans le processus de conversion ? C’est à ces questions que permettent de répondre les modèles d’attribution.
Un modèle d’attribution permet d’attribuer (d’affecter) les conversions sur un site web aux différents canaux, c’est-à-dire aux sources du trafic sur votre site : trafic direct, trafic organique, Adwords, trafic référent, affiliation… Le modèle d’attribution mesure la contribution de chaque levier et permet in fine de répartir de manière optimale les dépenses marketing/publicitaires par canal selon son efficacité. Utiliser des modèles d’attribution vous permet de savoir, très concrètement, ce qu’un euro investi sur un canal vous rapporte. La finalité dernière de ces règles d’attribution est l’optimisation de la stratégie marketing.
Il existe plusieurs modèles d’attribution comme nous allons le voir. Le choix de tel ou tel modèle dépend de plusieurs paramètres : du domaine d’activité, des sites concernés, du type de conversions ou de produits. Il est tout à fait possible par ailleurs d’utiliser plusieurs modèles d’attribution pour un même site. Chaque modèle a ses avantages et ses inconvénients.
Un modèle d’attribution sert à définir les points de contact / canaux qui ont permis de générer une vente / une conversion :
Les outils analytics permettent de connaître le comportement de vos clients. Les modèles d’attribution servent quant à eux à évaluer l’efficacité de vos canaux et de votre mix marketing. A partir du moment où plusieurs points d’interaction ou canaux interviennent dans la conversion, comme c’est toujours le cas, les modèles d’attribution s’avèrent très utiles pour mesurer de manière rationnelle la performance respective des différents canaux.
Découvrez notre guide complet pour devenir un pro des expressions régulières (Regex) sur Google Analytics 4 (GA4).
Top 7 des modèles d’attribution marketing
Il existe plusieurs modèles d’attribution marketing, certains traditionnels, d’autres plus récents. Chaque a ses avantages et ses inconvénients. Vous devez choisir celui ou ceux qui répondent le mieux à vos besoins business.
#1 Attribution au dernier clic
Le modèle au « dernier clic » est le plus traditionnel, celui utilisé par défaut par la majorité des outils de webanalytique – à commencer par Google Analytics. Comme son nom l’indique, ce modèle consiste à attribuer la conversion au dernier clic enregistré. C’est un modèle très basique, et en cela largement insuffisant, dans la mesure où une conversion est toujours précédé de plusieurs interactions. Par exemple : un internaute découvre votre produit sur Twitter. Il tape le nom de votre site dans son Google, clique sur le lien de votre site et achète le produit (schéma de conversion très basique on en convient). Suivant le modèle d’attribution au dernier clic, le crédit de la conversion sera attribuée à 100% au trafic « Google / organic », au détriment des autres leviers de conversion qui sont intervenus (Twitter en l’occurence).
Ce modèle d’attribution simpliste surestime en général le rôle des leviers AdWords (et plus généralement SEA) et SEO. Le modèle au dernier clic ne permet pas (ou rarement) de refléter la réalité. Dans la réalité, ce sont presque toujours plusieurs qui mènent à la conversion. A l’heure où les parcours clients se complexifient sans cesse, le modèle au dernier clic devient de plus en plus inadapté.
#2 Attribution au dernier clic excluant le trafic direct
Ce modèle est similaire au précédent. A une différence près : il ne prend pas en compte le trafic direct. Si un internaute a découvert votre offre sur Twitter, a ensuite fait une recherche dans Google pour en savoir plus, puis est revenu sur le site deux jours plus tard en tapant l’url de votre site dans son navigateur, le dernier clic pris en compte sera celui du trafic organique.
Ce modèle a un avantage : il est simple. Le fait d’exclure les accès direct se justifie dans la plupart des cas. Un internaute qui tape l’URL du site dans son navigateur a connu le site via d’autres leviers. Il est donc la plupart du temps absurde d’attribuer le crédit d’une conversion au trafic direct. Mais, en même temps, ce modèle conserve les inconvénients du modèle classique au dernier clic. Finalement, ce n’est qu’une variante de celui-ci.
#3 Attribution au dernier clic AdWords
Ce modèle appelle très peu d’explications. Il consiste tout simplement à affecter tout le mérite de la conversion à vos campagnes AdWords. On reste très dubitatif vis-à-vis de ce modèle d’attribution. En même temps on comprend tout à fait que Google y accorde du crédit, car cela tend évidemment à surestimer l’efficacité du canal AdWords.
Découvrez 8 segments personnalisés Google Analytics pour rendre vos données plus intéressantes.
#4 Attribution au premier clic
Ce modèle, avec celui au dernier clic, est l’un des deux plus utilisés. C’est un modèle traditionnel qui consiste à attribuer tout le mérite de la conversion au premier point de contact / canal / clic. Autrement dit : c’est l’opposé du modèle au dernier clic. Ce modèle a l’avantage de la simplicité, mais conserve les inconvénients des précédents modèles passés en revue. Le site Mazeberry utilise d’ailleurs dans un de ses articles une métaphore très parlante : cela revient à attribuer votre réussite au bac à votre passage en classe de seconde. On pourrait rajouter : cela revient à attribuer à son premier amour de jeunesse tout le mérite de son mariage. Dans les faits, ce modèle d’attribution est beaucoup moins fréquent que celui au dernier clic.
Découvrez pas à pas comment mettre en place Google Tag Manager sur un site web.
#5 Attribution linéaire
Tous les modèles listés précédemment ont un énorme défaut : ils attribuent tout le crédit d’une conversion à un seul canal. C’est nié la réalité : chaque conversion, sauf cas exceptionnels, fait intervenir plusieurs canaux. Les modèles que nous allons vous présenter maintenant ont leurs défauts, mais aussi un grand mérite : ils répartissent le crédit de la conversion sur plusieurs canaux / points de contact / clics. Commençons par le modèle linéaire. Dans ce modèle, le mérite de la conversion est distribué à parts égales entre les différents canaux qui sont intervenus dans le processus de conversion. L’inconvénient de ce modèle, c’est qu’il nie la contribution respective des différents canaux. Dans une conversion donnée, il y a toujours un canal qui a joué un plus grand rôle que d’autres. Le modèle linéaire est donc un modèle « idéal ».
#6 Attribution en fonction de l’emplacement dans le chemin de conversion (modèle croissant ou décroissant)
Ce modèle d’attribution marketing prend en compte la position des canaux marketing dans le processus de conversion. Suivant ce modèle, ce sont les points de contact / canaux les plus proches de la conversion qui retirent le plus de mérite dans la conversion. La logique qui réside derrière ce choix d’attribution, c’est que les canaux les plus en amont ne sont par définition pas parvenus à déboucher sur une conversion.
A noter qu’il existe un modèle inverse (« décroissant »), qui attribue le plus de mérite aux canaux situés les plus en amont de la conversion.
#7 Attribution suivant un schéma « parabolique »
Dans ce dernier modèle, ce sont au premier et au dernier canal du chemin de conversion qu’est attribué le plus de poids. On parle de modèle parabolique, ou parfois de modèle en « U ». Le premier et le dernier canal reçoivent chacun 40% du crédit de la conversion. Les canaux intermédiaires se partagent de manière équitable les 20% restants. Libre à vous de faire varier cette répartition (30/40/30 au lieu de 40/20/40 par exemple). Le modèle parabolique est hybride, dans la mesure où il combine le modèle croissant et le modèle décroissant.
Découvrez pourquoi et comment Google Analytics a appauvri la compréhension du marketing ?
Construire son propre modèle d’attribution
Les modèles présentés plus haut sont des modèles standards, ayant surtout une fonction heuristique. Ils répondent chacun à une problématique, mais la pertinence de chacun de ces modèles peut être questionnée. L’idéal est de construire ses propres modèles d’attribution en plus de ceux proposés par Google Analytics. Vous pouvez aussi utiliser le langage R pour créer des modèles d’attribution plus complexes.
Cependant, gardez à l’esprit que de toutes manières votre modèle ne pourra jamais être parfait. Un modèle d’attribution est toujours forcément basé sur des hypothèses plus ou moins arbitraires concernant le fonctionnement du parcours de vos clients et sur une part d’instinct.
Pour créer un modèle d’attribution personnalisé dans Google Analytics, rendez-vous dans le menu Conversions > Attribution > Créer un modèle personnalisé (barre défilante). Cela vous permet, à partir de modèle de référence, d’adapter et de personnaliser les règles.
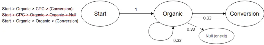
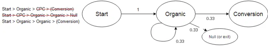
Pour en savoir plus sur la configuration et la personnalisation des modèles d’attribution sur Google Analytics, nous vous recommandons la lecture de cet article très complet (en français). Nous avons aussi découvert plusieurs articles intéressant sur la manière de faire de l’attribution avec les chaînes de Markov, dans Google Analytics et dans R. Très schématiquement, ces modèles consistent, dans leur fonctionnement, à anticiper les étapes suivantes du chemin de conversion par des lois de probabilités, et à calculer le poids de chaque point de contact en fonction du parcours clients réel.
La construction de modèles d’attribution à partir des chaînes de Markov offrent plusieurs avantages soulignés par LunaMetrics. Si le sujet vous intéresse, nous vous conseillons de lire cet article très complet (en anglais).
D’autres méthodes pour rendre votre marketing plus efficace
Nous vous conseillons d’utiliser aussi la méthode des cohortes pour mesurer l’efficacité de vos canaux respectifs, de votre mix marketing et de vos actions. Sur l’analyse des cohortes, lire cet article. Vous pouvez aussi utiliser des outils analytics pour analyser vos modèles d’attribution et faire de l’analyse prédictive des chemins de conversion. Basés sur des algorithmes de plus en plus puissants, ces outils vous permettront de renforcer votre approche data-centric.
Découvrez comment configurer et analyser votre tunnel de conversion sur Google Analytics.
A noter également que la version payante de Google Analytics propose des modèles d’attribution algorithmique prenant en compte aussi bien les canaux digitaux que offline, ce qui permet par exemple, avec un certain niveau de précision, de mesurer l’efficacité de vos campagnes télé.
Dans cette optique, Google n’est pas le seul à proposer ce type d’outils d’analytics cross-canal. Citons aussi Convertro ou encore Impact Radius. Un conseil : ces outils ne sont pertinents que si vous dépensez beaucoup d’argent en marketing cross-canal. Si ce n’est pas le cas, travailler sur votre organisation, vos objectifs et utiliser des modèles d’attribution plus simples est plus pertinent.
De manière générale, plus votre activité est importante, plus le problème de l’attribution se pose et plus il est complexe de le résoudre – aussi bien d’un point de vue de la gestion que d’un point de vue strictement technique. Les modèles d’attribution ne vous aideront à optimiser votre marketing et votre mic media que si les personnes concernées s’investissent vraiment dans cette démarche analytics et collaborent entre elles. Les modèles d’attribution sont aussi utiles (quand ils sont bien calibrés) que complexes à manier. Ils supposent par ailleurs une très bonne connaissance de l’expérience client et des parcours clients.
Nous conclurons sur ce point : l’attribution marketing est quelque chose de complexe. L’avantage de cette approche est évident sur le papier : identifier les canaux et points de contact les plus efficaces dans vos chemins de conversion, ce qui permet d’ajuster votre stratégie marketing et d’allouer vos ressources de manière plus pertinente. Le problème, c’est que les modèles d’attribution sont soit trop simplistes (le modèle au dernier clic par exemple), soit trop complexes à comprendre, car reposant sur des algorithmes opaques. Et dans tous les cas, il y a toujours une part d’arbitraire au niveau des hypothèses choisies.
C’est pour cette raison que beaucoup d’entreprises n’ont pas complètement confiance dans la pertinence de leurs modèles et hésitent à baser leurs décisions stratégiques sur eux. Si votre modèle d’attribution tend à montrer par exemple que vos canaux sociaux ne marchent pas du tout, est-ce une raison de négliger ces canaux dans votre stratégie ? Des décisions de ce type sont toujours difficiles à prendre. C’est pour cela qu’il est essentiel de discuter en interne et d’impliquer toutes les parties prenantes dans la réflexion concernant la définition des modèles et leur place dans votre processus décisionnel.
Si le sujet de l’analytics vous intéresse, je vous invite fortement à parcourir ces articles :
En vous inscrivant vous acceptez notre
politique de protection de données
personnelles.











